Winds in a Forest on a Hill
Background
J.J. Finnigan and M.R. Raupach (CSIRO Centre for Environmental Mechanics, Canberra, Australia) and Y. Brunet (Inst. Nationale Res. Agronomique, France) performed wind tunnel experiments on flow through a plant canopy (height hc) on a ridge (half-length L, height H). Typically, such a flow lies outside the scope (legitimate region of L, H, z0 parameter space, z0 being the surface roughness length) of the linear, analytical theory for windflow over smooth hills (Jackson & Hunt, 1975, Quart.J.R. Meteorol. Soc. 101; hereafter JH) and its later refinements.
- Symbols & Terminology
- On the Nature of Flow in a uniform plant/forest canopy
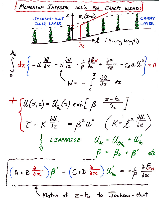
- Now what happens in the disturbed flow, over a hill?
Numerical Solutions
However wind changes over the hill were not small c.f. the upwind flow, so that none of the linear treatments constructed was very successful. Therefore, non-linear numerical solutions to the ( Governing Equations ) were calculated.
The streamwise-momentum equation was closed at first order. The eddy viscosity was parametrized as
K=l.sqrt(k)
where l=l(x,z) is an imposed lengthscale, and k is the "turbulent kinetic energy," calculated from the TKE equation. Solutions were "driven" by an imposed (measured; or theoretical, JH) pressure gradient, in order to simulate a hill flow:
(Graphical Comparison of Numerical Model and Observations over the Hill).
Since pressure was provided, this exercise amounted to the calibration of a first order closure to provide a closure of minimal complexity. A description of this work can be found in my List of Publications. The closure has subsequently been shown to work quite well for the disturbed windflow in and about forest clearings.
Back to Disturbed Windflows
Last Modified: 22 Dec 1998